Skip to content

Partial Differentiation

Featured Replies

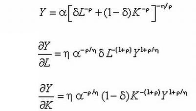
Can someone show me in a step-by-step way how the following partial differentiations were obtained?

the-differentiation-problem.jpg

I assume that you can differentiate Y with respect to L and get a dY/DL as a function of L and K.

 

Then the tricky part is getting rid of the term in the square bracket. Express the term in the square bracket as a function of Y and alpha. Then substitute the expression you get for the term in the sqare bracket into your solution for DY/DL.

Archived

This topic is now archived and is closed to further replies.

Important Information

We have placed cookies on your device to help make this website better. You can adjust your cookie settings, otherwise we'll assume you're okay to continue.

Account

Navigation

Search

Search

Configure browser push notifications

Chrome (Android)
  1. Tap the lock icon next to the address bar.
  2. Tap Permissions → Notifications.
  3. Adjust your preference.
Chrome (Desktop)
  1. Click the padlock icon in the address bar.
  2. Select Site settings.
  3. Find Notifications and adjust your preference.