Skip to content

Calculate the ideal discharge reactor volume

Featured Replies

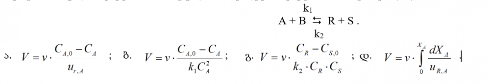
What formula is used to calculate the ideal ejection reactor volume ?  image.thumb.png.32d768f30f96782757c1d578b2b95cb5.png

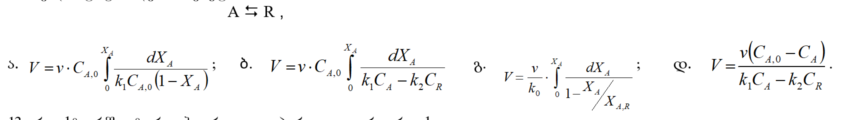
image.thumb.png.4151f3230bbbaec9c5f3f4e1405248d2.png

Archived

This topic is now archived and is closed to further replies.

Important Information

We have placed cookies on your device to help make this website better. You can adjust your cookie settings, otherwise we'll assume you're okay to continue.

Account

Navigation

Search

Search

Configure browser push notifications

Chrome (Android)
  1. Tap the lock icon next to the address bar.
  2. Tap Permissions → Notifications.
  3. Adjust your preference.
Chrome (Desktop)
  1. Click the padlock icon in the address bar.
  2. Select Site settings.
  3. Find Notifications and adjust your preference.