Skip to content

What is the true way to determine time parameters from semilog graph?

Featured Replies

Hi all,
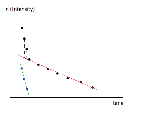
I have experimental nuclear magnetic resonance data that describe T2-relaxation of the nuclei in the sample of interest. The experimental points obey bi-exponential dependence: I = I1*exp(-t/T2_1) + I2*exp(-t/T2_2), where I is current intensity, I1 and I2 are intensities which represent fractions of two T2 components - T2_1 and T2_2. The purpose is to calculate T2_1 and T2_2. To calculate T2_1 and T2_2, I fit bi-exponential equation mentioned above to experimental data points. But in order to ensure that calculated T2 values are true, I'd like to build semilog graph. For this, I take natural logarithm of experimental intensities, and thus the vertical axis in the graph is now in ln(I). Then, in obtained semilog graph, I need to divide points into two parts: first part of points will be fitted by linear equation y1 = C1 - t/T2_1, and the second part of points will be fitted by linear equation y2 = C2 - t/T2_2. And here I have two variants of how to do this fitting. The first variant is just to fit each part of data points with linear equation with corresponding initial guesses. And the second variant is the following: first, I fit the second part of points with equation y2 = C2 - t/T2_2, i.e. 7 points as you can see in the attached images. Thus I found C2 and T2_2 from fit. Then, using equation y2 = C2 - t/T2_2, I find ln(I) values for time values corresponding to the first part of points (i.e. first 3 points as you can see in the attached images). After that, I subtract these extrapolated ln(I) values from first three experimental ln(I) values. Let's call these new values as ln(I)1, ln(I)2, ln(I)3. Finally, I fit these 3 points with equation y1 = C1 - t/T2_1 and find the parameters C1 and T2_1. Could you please tell me, which variant of calculating T2 values is true? Please find attached two images which show the difference between two mentioned methods of calculating T2 values.

Graph1.png

Graph2.png

Archived

This topic is now archived and is closed to further replies.

Important Information

We have placed cookies on your device to help make this website better. You can adjust your cookie settings, otherwise we'll assume you're okay to continue.

Account

Navigation

Search

Search

Configure browser push notifications

Chrome (Android)
  1. Tap the lock icon next to the address bar.
  2. Tap Permissions → Notifications.
  3. Adjust your preference.
Chrome (Desktop)
  1. Click the padlock icon in the address bar.
  2. Select Site settings.
  3. Find Notifications and adjust your preference.