Skip to content

Triple integral

Featured Replies

Hello everyone, 

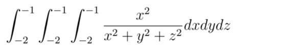
I am trying to solve this triple integral problem , but I am having some issues.

image.png.d38d0166e3d78f0f077ec47bb454b1bf.png

I tried with the 2 different approaches.

1.- I converted the variables to spherical coordinates, and I think it went well, until the moment to evaluate the integral using those limits (-1 , -2). I couldn't pass that. 

2.- Conversion to cylindrical coordinates, but no luck at all there. 

So, could someone be so kind in giving me some light around this? Please. Not sure if I am follow a right approach. 

 

 

 

 

This integral isn't meant to be evaluated in a straightforward manner. The solution is a trick.

  • Author

HI - Yes thank you uncool, you are correct. The solution is a trick. 

The integral is equal to 1/3.

Archived

This topic is now archived and is closed to further replies.

Important Information

We have placed cookies on your device to help make this website better. You can adjust your cookie settings, otherwise we'll assume you're okay to continue.

Account

Navigation

Search

Search

Configure browser push notifications

Chrome (Android)
  1. Tap the lock icon next to the address bar.
  2. Tap Permissions → Notifications.
  3. Adjust your preference.
Chrome (Desktop)
  1. Click the padlock icon in the address bar.
  2. Select Site settings.
  3. Find Notifications and adjust your preference.