Everything posted by Bjarne-7
-
3i/Atlas and weak deceleration ?
Where we are only talking about how data is collected, I completely agree. - But here too, there are some fallacies. COPY PASTE FROM PAGE - 2 There has been some confusion about whether a non-gravitational acceleration was measured for 3I/Atlas. In fact, no direct detection has been made — only an upper limit has been established from orbital fitting. Upper limit from astrometry Cloete, Loeb & Vereš (2025) analyzed the orbital residuals and found no significant evidence for a non-gravitational acceleration. Instead, they placed an upper bound of <3×10−10 AU/d2, which converts to <6×10−8 m/s2. This is not a direct measurement of acceleration — it is simply the maximum strength such an effect could have without being detectable in the available data. Order-of-magnitude estimates in discussion Separately, values around ∼1×10−8 m/s2 have been mentioned as plausible accelerations from comet-like outgassing at ~3 AU. These are heuristic estimates, not observational results, and they remain comfortably below the observational upper limit. Predicted anomaly for 3I/Atlas (perihelion-scaled from ʻOumuamua) This table shows the predicted non-gravitational anomaly for 3I/Atlas, scaled from ʻOumuamua’s Micheli et al. (2018) amplitude using perihelion distance correction. Values are given for heliocentric distances from 0.5 AU to 5.0 AU in 0.5 AU steps. Distance r (AU) NASA/Micheli Δa (m/s²) [3I/Atlas] NASA/Micheli Δa (µm/s²) 0.5 6.529e-07 6.529e-01 1.0 1.632e-07 1.632e-01 1.5 7.254e-08 7.254e-02 2.0 4.081e-08 4.081e-02 2.5 2.612e-08 2.612e-02 3.0 1.814e-08 1.814e-02 3.5 1.332e-08 1.332e-02 4.0 1.020e-08 1.020e-02 4.5 8.061e-09 8.061e-03 5.0 6.529e-09 6.529e-03
-
3i/Atlas and weak deceleration ?
Your numbers were not correct, and I have provided the corrected values. My initial approach was rather superficial, but during the discussion I gathered more information about the mathematical background. When ‘Oumuamua was observed in 2017, it was found that its non-gravitational acceleration decreased approximately in proportion to 1/r², where r is the distance from the Sun. This pattern corresponds to the solar-induced force typically observed in cometary outgassing. Based on this, researchers at NASA and ESA developed a model grounded in the same mathematical principles used to describe outgassing. When this model was applied, it showed that ‘Oumuamua’s motion could be reproduced as if the object experienced a strong outgassing-like force — yet no actual outgassing, dust, or cometary activity was observed. The mathematical framework describing outgassing has long formed the basis for explaining the acceleration and deceleration of comets. However, ‘Oumuamua’s behavior challenges this classical interpretation, as it demonstrates that a 1/r²-dependent acceleration can occur without any detectable outgassing. This suggests that the traditional causal model may be insufficient and that the fundamental assumptions behind it should be reconsidered. When comparing the equation describing ‘Oumuamua’s acceleration with the standard outgassing model, it becomes clear that the two can yield similar motion profiles. The difference lies not in the mathematical form of the equations, but in their physical interpretation of what drives the force. In summary, ‘Oumuamua shows that non-gravitational acceleration in interstellar objects can mimic the effects of outgassing even when none is present. This discovery challenges the long-held assumption that outgassing is necessarily the primary cause of such anomalies in comets or comet-like bodies. CHECK-LIST The driving force behind ‘Oumuamua’s anomaly remains unknown. Observations revealed a clear non-gravitational acceleration, yet no evidence of outgassing, dust emission, or any other form of mass loss typically associated with comets. The specific physical mechanism responsible for this acceleration has therefore not yet been identified. The observed force possesses the full theoretical potential to replace outgassing as an explanatory framework in all cases where it has previously been assumed to be the primary driving mechanism. The acceleration’s functional dependence on 1/r² follows the same mathematical form as solar-induced outgassing, suggesting a deeper correspondence within the governing dynamical laws. In analyses of other interstellar or comet-like objects, such as 2I/Borisov, the absence of detected anomalies has often been interpreted as confirmation of the conventional outgassing model. However, this conclusion implicitly relies on the assumption that outgassing continues to represent the universal explanation for non-gravitational effects. ‘Oumuamua challenges this theoretical foundation. Its observed dynamics are inconsistent with the expected correlation between outgassing and detectable emissions, thereby undermining the classical causal model. The object therefore represents a significant scientific signal — a clear indication that the phenomenon of comet-like acceleration and deceleration remains incompletely understood. This implies that the physical mechanisms governing such behavior may be more complex than previously assumed. The force that acted on ‘Oumuamua possesses the full theoretical potential to completely replace the outgassing hypothesis as an explanation for non-gravitational anomalies. This suggests that outgassing is not necessarily a required condition for producing such observed accelerations. The key distinction is that the cause of the observed force remains unknown. There is currently no consensus on its physical origin — whether electromagnetic, thermal, or mechanical — making ‘Oumuamua one of the most challenging and intriguing objects in modern astrophysics. When an established paradigm is confronted by empirical observations of this nature, it demands heightened scientific attention and methodological reassessment. ‘Oumuamua thus stands as a potentially paradigm-shifting object that compels the scientific community to reconsider long-held assumptions about the dynamics of small interstellar bodies.
-
3i/Atlas and weak deceleration ?
I simply have the freedom to throw the hand grenades back to where they came from. I always show my fellow human beings at least 100% of the same respect they show me. The discussion was turning into a full-blown witch hunt. No, I don’t have a PhD — I’m a professional artilleryman, so I also know a craft. A scientific forum should be a place where opinions can clash freely, and where even those who think for themselves are allowed to exist without being constantly suspected or belittled. Today we can see that even Harvard professors with PhDs and large platforms — and many others with PhDs — support ideas that, according to many, justify warning the world that an alien invasion is on the way. There’s 110% freedom of speech for those with high-ranking titles. But when an ordinary person has heard enough BS, they’re immediately discredited and ridiculed. A forum should be a place where everyone can meet — including those who don’t fully understand but want to; and those who believe they can contribute to getting a paradigm back on track, one that is clearly losing touch with reality. In this context, remember that the idea of outgassing being the true explanation for the deceleration and acceleration we’ve observed for decades is only a hypothesis — not even a theory. Yet among the self-righteous, it’s treated as absolute truth, something to be defended tooth and claw. In reality, the true believers are often the ones clinging to a worldview that ‘Oumuamua may very well have exposed as a joke. And to say it plainly: ‘Oumuamua quite clearly shows that the theory of relativity doesn’t hold water. But if anyone dares to say that out loud, I can promise you the anti-crackpot war machine will go into overdrive — led, of course, by people with PhDs. But as I said: bring it on. I’m a professional artilleryman —I don’t fear death, or anything else, also not the truth.
-
3i/Atlas and weak deceleration ?
Try to understand that if you transfer ʻOumuamua’s anomaly and you truly grasp the underlying mathematics, you cannot end up above the outgassing level. If you do, it means you haven’t correctly converted ʻOumuamua’s perihelion distance to that of 3I/Atlas. It’s quite clear that you don’t yet have the necessary mathematical skills to handle that conversion properly. I have shown you serveral times how to convert it to m/s2 ? what ? - You’re from Earth, right? Not from some similar planet with a cryptic undercover name, right? Can you garentee me you are not from the 3i/Atlas spacecraft ? So why make a BS point of of it (?)
-
3i/Atlas and weak deceleration ?
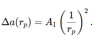
In Micheli et al. (2018), the 1/r² dependence makes the perihelion distance the key parameter, since it determines how strongly the Sun’s radiation and outgassing effects act on the object —and thus how large the non-gravitational acceleration can be. Δa(r) is the non-gravitational acceleration (from outgassing or solar radiation pressure) at distance r from the Sun, where A1 is the amplitude the acceleration would have at 1 AU, and r is the object’s actual distance from the Sun during observation. If an object comes close to the Sun (like ʻOumuamua, with rp=0.26AU ) it experiences a much stronger solar influence. This means that, to match the same observations, the amplitude must be higher A1 , since the acceleration increases according to: For 3I/Atlas at rp=1.07AU -> (1/1.07)2 ≈ 0.87(1/1.07)2 meaning its acceleration is weaker than at 1 AU. For ʻOumuamua at rp=0.26 AU - > (1/0.26)2 ≈ 14.8(1/0.26)2 so the acceleration at perihelion is nearly 15 times stronger than at 1 AU. NOTICE Oumuamua was observed to have a non-gravitational acceleration of about Δa(r)≈5×10−6 m/s2 at r≈1 AU.\Delta a(r) \approx 5e-6m/s2 at r≈1 AU. That is an extremely strong effect for an object estimated to be roughly 100–200 m across. For solar radiation pressure alone to produce this acceleration, the object would need an exceptionally low mass-to-area ratio: Oumuamua would have to be ultra-thin, almost like a lightsail — just a few millimetres thick but tens of metres wide. No known natural process can produce such an object. Moreover, no outgassing, dust, or comet-like activity was detected. The equation above shows the formula that describes outgassing. As you can see, it produces exactly the same result as the equation that describes ʻOumuamua’s acceleration. This provides the mathematical proof that ʻOumuamua’s anomaly was at least 100% counterproductive relative to the outgassing hypothesis. In other words, the anomaly has the potential to completely and totally eliminate the need for any outgassing explanation. This is why even leading figures and many other scientists have been taken aback, and why fragments of alien-related conspiracy theories have emerged—even among some of the world’s finest universities. And others, with a more down-to-earth perspective, have begun to realize that there is a need for new thinking—one where the outgassing hypothesis is completely eliminated, and where people remain open to what an alternative explanation might be.
-
3i/Atlas and weak deceleration ?
You insinuate that I am trying to post under a false flag. – Honestly, I can’t even remember all the times in my life when I’ve had to request a new password because I forgot the old one. And in cases you dont get a new pw and when the old username is still stuck in the system, you end up having to register agian add a number after it. – If I really wanted to post under a false flag, I’d probably have chosen a name like “King Carrot,” rather than just sticking a number at the end. – It’s like accusing Russia of sending drones under a false flag by labeling them “Made in Russia-7.” – When someone makes such foolish claims (in a figurative sense), it only shows that their own underestimation of other people’s intelligence in reality just reveals how stupid they themselves are. I think it’s more relevant to ask why the system didn’t let me in, and why I had to request a new password — and why I never received it. Is it because this forum is only for the “chosen ones”? I think it’s time to summarize:, The estimated expected deceleration due to outgassing of 3i/Atlas is 1×10⁻⁸ m/s² at 3 AU. When you convert the ‘Oumuamua anomaly to the 3i/Atlas parameters, you get 1.8×10⁻⁸ m/s² at 3 AU. Adding these values gives 2.8×10⁻⁸ m/s². The maximum possible deceleration is set to 6×10⁻⁸ m/s². In other words, there’s plenty of room for the anomaly to hide within the data. An entirely identical calculation shows that the same is true for Borisov.
-
3i/Atlas and weak deceleration ?
You reveal yourself by ignoring the serveral posts that already clarify the confusion about the meaning of an object’s incidence and exit angle relative to the Sun—and instead continue to argue—you are clearly demonstrating that your only goal is to maintain that confusion, rather than acknowledge the corrections / clarification that many of the earlier posts are actually about. In that regard, I must repeat: the error is also your own: Because you were informed that you should correct for 3i/Atals perihelion, is not the same as Omujamua. This was not done in the calculation you refer to, and as a scientist it is obvious to see that . Both before and after, you were told that the amplitude from Micheli et al. (2018), which forms the basis of the ‘Oumuamua anomaly, must first be converted mathematically into the perihelion of 3I/Atlas. Next, you make the mistake of equating AU/d² with m/s². Then, you make the mistake of not understanding that <3×10⁻¹⁰ AU/d² is, first of all, not a measured value but an upper limit. Then, you make the mistake of not realizing that, if you had converted this value into m/s², you would have obtained an upper limit of <6×10⁻⁸ m/s². Then, you make the mistake of not recognizing that this is still an upper limit. Then, you make the mistake of failing to understand that the expected value is in fact about ∼1×10⁻⁸ m/s². Then you made not mistake not to read and not to understand this, - my post regaring this you find at at side 2, and repeated below If you had started by converting the 3I/Atlas amplitude yourself—as has already been shown to you multiple times, including the correct mathematical formula—you would have been able to see with your own eyes that there is more than enough room for 3I/Atlas to have been affected by the same causal anomaly that influenced ‘Oumuamua. This is clearly shown in the figures below, which are based on the proper correction for the Atlas perihelion. - Now repeated below, and something it is clearly you want to avoid understanding and these should be. I said in advance that I wouldn't go into mathematical details - it's too boring, - so you should know you have to do some work yourself Absolutely true, and later analyses have shown that relativistic effects cannot explain the anomaly either. It is as if you are signalling that, on this forum, it is somehow forbidden to think for oneself. And you continue to try to convince readers here that there is a hidden agenda. There is not — that exists only in your own imagination. If you ask me whether I have solved the mystery in another way—well, guess what? If I had, I’m not sure I would share it here, because it is painfully obvious that intolerance toward new thinking and prejudice against people who think for themselves reeks unpleasantly on this forum. Where i come from we can agree that Bjarke is similar to Bjarne, but Bjarne is not similar to Bjarne, and also we agree that 7 is not a name. I am from Earth, this planet is not similar to Earth, - but this is Earth. So if I really should have told you that my name is not Bjarne and also not Bjarne , and also not 7, and that I dont come from Earth, yes then I would have lied to you.
-
3i/Atlas and weak deceleration ?
Helloooo ... Haven’t you read my last two posts on page 2? Or is it because you don’t want to, or maybe can’t quite understand the content? I feel like you keep repeating the same points, even though I already answered your question in detail. This has already been clearly explained many times, and the correct figures are shown in the table on page 2, yet you keep repeating the same point. The Micheli et al. (2018) amplitude cannot be regarded as a natural constant. In the context of ʻOumuamua it merely provides a parametrization of the observed anomaly, but it cannot be uncritically transferred to other interstellar objects without conversion for their specific perihelion distance.
-
3i/Atlas and weak deceleration ?
You're welcome – but remember next time to also criticize yourself for not including the perihelion dependence in the calculation; it's also part of my model. I don’t know what you mean by 670?- use the data in the table, formatted with the correct perihelion, to avoid similar misunderstandings Same answer as above. That is not the point; of course it will continue. Naturally, the deceleration will also continue. I noticed there was a problem and found that it was due to missing perihelion calibration, since Atlas has a different perihelion distance. It is crucial that this is set correctly. I have mentioned several times that this calibration is necessary — so if you gave me one point up every time I pointed it out, that would only be fair
-
3i/Atlas and weak deceleration ?
Fundamentally, this is about a (relatively) large monster anomaly discovered in the ʻOumuamua object that visited our solar system in 2017. This comet behaved exactly as if it were undergoing outgassing—despite no evidence supporting that. Since then, Borisov passed by in 2018. It was a comet with strong outgassing, decelerating and accelerating as expected. Now, 3I/Atlas is making its way through the solar system. So far, it’s behaving quite normally. Nevertheless, it has become part of a “conspiracy” in which many—some even highly ranked experts—are speculating about alien involvement due to the lack of a natural explanation. This speaks volumes about how powerless many feel when faced with an anomaly that the current paradigm cannot explain. ʻOumuamua has also led some skeptics to claim that outgassing itself might be the same anomaly—just in disguise. My calculations show that there is at least enough room for the same anomaly to be hiding in both Borisov and 3I/Atlas. Of course, it’s crucial to quickly figure out what’s really going on. Right now, we’re seeing a growing public excitement, with some believing we’re under alien invasion. Let’s hope it doesn’t spiral into something as damaging as the 9/11 conspiracy theories. So yes, at its core, this is about ʻOumuamua being the object that most clearly revealed something is seriously wrong. My mission here is simply to show that the ʻOumuamua anomaly-monster could potentially be hiding in all three interstellar objects that have visited the solar system—meaning Borisov and 3I/Atlas as well. This is the first necessary step to take to get the fox out of the rabbit hole. But beware: arrogant, dogmatic scientists are ready with their downvoting machine guns, eager to shoot you down and drag you before the crackpot tribunal the moment you say the wrong word. So be careful what you dare to think out loud.
-
3i/Atlas and weak deceleration ?
Clarification on the Reported Values for 3I/Atlas There has been some confusion about whether a non-gravitational acceleration was measured for 3I/Atlas. In fact, no direct detection has been made — only an upper limit has been established from orbital fitting. Upper limit from astrometry Cloete, Loeb & Vereš (2025) analyzed the orbital residuals and found no significant evidence for a non-gravitational acceleration. Instead, they placed an upper bound of <3×10−10 AU/d2, which converts to <6×10−8 m/s2. This is not a direct measurement of acceleration — it is simply the maximum strength such an effect could have without being detectable in the available data. Order-of-magnitude estimates in discussion Separately, values around ∼1×10−8 m/s2 have been mentioned as plausible accelerations from comet-like outgassing at ~3 AU. These are heuristic estimates, not observational results, and they remain comfortably below the observational upper limit. Predicted anomaly for 3I/Atlas (perihelion-scaled from ʻOumuamua) This table shows the predicted non-gravitational anomaly for 3I/Atlas, scaled from ʻOumuamua’s Micheli et al. (2018) amplitude using perihelion distance correction. Values are given for heliocentric distances from 0.5 AU to 5.0 AU in 0.5 AU steps. Distance r (AU) NASA/Micheli Δa (m/s²) [3I/Atlas] NASA/Micheli Δa (µm/s²) 0.5 6.529e-07 6.529e-01 1.0 1.632e-07 1.632e-01 1.5 7.254e-08 7.254e-02 2.0 4.081e-08 4.081e-02 2.5 2.612e-08 2.612e-02 3.0 1.814e-08 1.814e-02 3.5 1.332e-08 1.332e-02 4.0 1.020e-08 1.020e-02 4.5 8.061e-09 8.061e-03 5.0 6.529e-09 6.529e-03
-
3i/Atlas and weak deceleration ?
The Micheli et al. (2018) amplitude should not be regarded as a natural constant. In the case of ʻOumuamua it serves only as a parametrization of the observed non-gravitational acceleration, and it cannot be directly applied to other objects without accounting for differences in their perihelion distance. I pointed this out in an earlier post, and for that I was rewarded with two downvotes.
-
3i/Atlas and weak deceleration ?
It is absolutely correct that, hypothetically, the numbers you mention are consistent. But first I need to clarify: On August 1, when the outgassing effect you referred to was measured, 3I/ATLAS was about 3 AU from the Earth, or, if you prefer, about 4 AU from the Sun. So the "2.5 AU" figure you referred to above is still misleading. ʻOumuamua’s non-gravitational acceleration was determined from precise astrometry collected between October and January 2017/2018, after the object was discovered by Pan-STARRS1 on October 19, 2017. The observations covered a range of about 1.4 to 2.0 AU from the Sun on its way out of the solar system (Micheli et al. 2018, Nature 559, 223–226). It was in this interval that residuals from a purely gravitational trajectory became clear, and where an outgassing-like 1/r2 law could be fitted to the data. After ~2 AU, ʻOumuamua quickly became too faint to be tracked by telescopes, and therefore there are no measurements of the anomaly beyond 2 AU. Any values at 3–4 AU are thus not observations, but simply extrapolations of the model. In the study of comets and interstellar objects, the so-called outgassing law (often expressed as an acceleration proportional 1/r2 law has long been the standard model to describe non-gravitational forces in orbits. However, this law has been criticized in cases where its application lacks direct physical correspondence — particularly with ʻOumuamua, where an “outgassing-like” acceleration was observed, but no gas or dust was detected. Critics have suggested that in such cases the law may be a mathematical parametrization of an unknown anomalous effect rather than a physical gas mechanism (e.g., Seccull & Jewitt, 2018; Bialy & Loeb, 2018). This all means you have no observations to support that ʻOumuamua’s anomaly must, in practice, continue to follow Micheli’s equation. So the conclusion here: - is that you expect it to apply beyond 2 AU, and therefore you must demonstrate it. That’s why you need to show us your calculations.
-
3i/Atlas and weak deceleration ?
3i/Atlas was at that time about 3 AU from the sun, it make a hell lots of difference, how to calculate all that, - and this time it is your turn to show the calculation, otherwise you don't know what you are claiming
-
3i/Atlas and weak deceleration ?
(36) The path of interstellar comet 3I/ATLAS through the Solar System - YouTube
-
3i/Atlas and weak deceleration ?
The measurement is from this summer and therefore outdated. It will almost certainly be updated with stronger measurements and expectations. If there's a possibility that a similar anomaly (like the one observed in 'Oumuamua's trajectory) is hidden in the data, it will most likely be interpreted as outgassing—almost regardless of the actual cause. That conclusion is easy to reach, since there was a large willingness to interpret the 'Oumuamua anomaly as outgassing—even while fully aware that no such outgassing was actually observed."
-
3i/Atlas and weak deceleration ?
Why Oumuamua and not Borisov The interstellar comet 2I/Borisov behaved very differently from 1I/ʻOumuamua. Whereas ʻOumuamua showed no detectable outgassing, Borisov exhibited strong cometary activity throughout its passage: telescopes including Hubble, VLT, and ALMA observed a bright coma, a dust tail, and clear gas emissions (water, CO, CN). These outgassing processes produced non-gravitational accelerations in the range of 10e−7m/s2 to 10−e6 m/s2 , fully consistent with what is seen in ordinary comets. If a subtle anomalous effect like that inferred for ʻOumuamua had been present in Borisov, its magnitude would have been on the order of 10−7 m/s2 at 2–3 AU. However, such a signal would have been indistinguishable from, and completely masked by, the much larger and variable accelerations generated by Borisov’s vigorous outgassing. In short, ʻOumuamua appeared anomalous precisely because it lacked measurable outgassing, while Borisov behaved as a textbook comet whose trajectory can be explained by conventional comet physics. Source: Jewitt, D., Hui, M.-T., Kim, Y., Rajagopal, J., Kotulla, R., Ridgway, S., … & Weaver, H. A. (2020). The nucleus of interstellar comet 2I/Borisov. The Astrophysical Journal Letters, 888(2), L23. arXiv:1912.05422 Bodewits, D., Kelley, M. S. P., Li, J.-Y., Farnham, T. L., Weaver, H. A., & Guzik, P. (2020). The carbon monoxide–rich interstellar comet 2I/Borisov. Nature Astronomy, 4, 867–871. NASA/HST report (PDF) Guzik, P., Drahus, M., Rusek, K., Waniak, W., Cannizzaro, G., & Pastor-Marazuela, I. (2020). Initial characterization of interstellar comet 2I/Borisov. Nature Astronomy, 4, 53–57. https://doi.org/10.1038/s41550-019-0931-8 Here are a few key links to research and preprint articles about 3I/ATLAS that discuss or constrain non-gravitational acceleration and outgassing: (Cloete, Loeb & Vereš 2025) explicitly constrains 3I/ATLAS’s non-gravitational acceleration to the 10−9 m/s210^{-9}\,\mathrm{m/s^2}10−9m/s2 level — essentially negligible compared to ʻOumuamua’s anomaly Also check “Upper Limit on the Non-Gravitational Acceleration and Lower Limits on the Nucleus Mass and Diameter of 3I/ATLAS” — arXiv preprint setting an upper bound on non-gravitational acceleration. (arXiv:2509.21408) “3I/ATLAS: Direct Spacecraft Exploration of a …” — discusses the expected non-gravitational acceleration from outgassing and the detectability challenges. (arXiv:2508.15768) “Water Detection in the Interstellar Object 3I/ATLAS” — reports OH emission, which indicates water/outgassing potential. (arXiv:2508.04675)
-
3i/Atlas and weak deceleration ?
RA (Right Ascension) and DEC (Declination) Starting point here- ~5×10−6 m/s at 1 AU, scaled as 1/r², -and link (source) what about this: Non-gravitational acceleration in the trajectory of 1I/2017 U1 (‘Oumuamua), Marco Micheli et al., Nature 559, 223–226 (27 June 2018) Very little , for 3I/ATLAS the effect of outgassing appears to be extremely small, on the order of 10e-9m/s^2.... (i.e. less than 0.05% of ʻOumuamua’s anomaly.). Same answer as above
-
3i/Atlas and weak deceleration ?
If we simply take ʻOumuamua’s 1/r² scaling and apply only the difference in outbound angle, a corresponding possible anomaly for 3I/ATLAS would fall in the range of 0.7–1.0 × 10⁻⁶ m/s² between 1.5 and 2.5 AU — lower than ʻOumuamua’s but not vanishing. Oumuamua’s anomalous acceleration (assuming ~5×10−6 m/s at 1 AU, scaled as 1/r²): 1.5 AU: 2.2×10−6 m/s² 2.0 AU: 1.25×10−6 m/s² 2.5 AU: 0.80×10−6 m/s² Geometric factor (radial component, cos α) 1.5 AU: 3I/ATLAS ≈ 0.43 × ʻOumuamua - about 57% weaker 2.0 AU: 3I/ATLAS ≈ 0.73 × ʻOumuamua - about 27% weaker 2.5 AU: 3I/ATLAS ≈ 0.84 × ʻOumuamua - about 16% weaker Estimated possible anomaly for 3I/ATLAS (based only on the angle difference, without assuming any physical cause): 1.5 AU: ~0.95×10−6 m/s² 2.0 AU: ~0.91×10−6 m/s² 2.5 AU: ~0.67×10−6 m/s² This will most likely be more accurate, (at least more specific) - or (off course) maybe the anomali is cheating, and won't repeat PS! When an acceleration occurs on the way out of the solar system, there is reason to believe that the opposite (deceleration) occurs on the way into the solar system.
-
3i/Atlas and weak deceleration ?
I agree, this is the impression I get. I don't know if you've noticed that what we're discussing about 3i/Atlas is that we're actually seeing an anomaly that looks like the Omuamua anomaly. - And the answer is that there's nothing to show that this anomaly has been resolved. Rejected explanations for ʻOumuamua’s anomaly Classical outgassing (water/ice gases) → Rejected: no coma or gas was observed. Solar radiation pressure → Rejected: would require an unrealistically thin/light natural object. Hydrogen outgassing → Rejected: demands large amounts of trapped H₂, difficult to preserve over billions of years. Artificial lightsail / technosignature → Rejected: no evidence of artificial origin, too speculative. Measurement error / astrometry → Rejected: detailed analyses show the anomaly is real, not an artifact. High albedo (reflectivity) → Rejected: observations show a dark surface (low albedo ~0.1), so reflected sunlight cannot account for the acceleration. Very little — for 3I/ATLAS the effect of outgassing appears to be extremely small, on the order of 10e-9m/s^2.... (i.e. less than 0.05% of ʻOumuamua’s anomaly.). There is no need to show calculations that can essentially be downloaded as ready-made results from the internet and then are pure head-hunting. Because you are my best friend, I have downloaded the basic data for you. Micheli et al. (2018, Nature) showed that ʻOumuamua’s non-gravitational acceleration could be well described by a law that decreased approximately as 1/r² with distance from the Sun. Therefore, two comparison factors come into play: 1) Perihelion distance ʻOumuamua perihelion distance q≈0.2559q \approx 0.2559q≈0.2559 AU (about 38.3 million km) 3I/ATLAS perihelion distance q≈1.356q \approx 1.356q≈1.356 AU (October 29, 2025) This means that 3I/ATLAS passes about 5 times farther from the Sun at perihelion than ʻOumuamua did. Thus, one can conclude / estimate / calculate proportionally that the anomaly comparison basis for 3I/ATLAS is only about 20% relative to ʻOumuamua (simple proportional reasoning). 2) Radial / Outbound angle At 2 AU (outgoing): ʻOumuamua: ~16° from radial 3I/ATLAS: ~45° from radial At 4 AU (outgoing): ʻOumuamua: ~9.5° from radial 3I/ATLAS: ~22° from radial Clearly, the radial outbound angle must be included in the comparison. And again, with proportional (back-of-the-envelope) reasoning, you can see that a possible similar anomaly for 3I/ATLAS should be reduced from the 20% baseline by an additional factor of about 2–3. In other words: Then you can reduce the already found 20% we found before, then you end up with a (possible) anomaly that is 2 to 3 times lower, which means between 7 and 10%.
-
3i/Atlas and weak deceleration ?
Common features estimate - just for fun. Nothing to worry about. No Aliens , no cryptic messages, just waste of time. Dont worry, the world will go on. In my view: last desperate ad hoc - without consensus It has been ruled out for Omuamua, and I dont belive 3i/atlas should be an exception Only if such was observed. All you can do is to compare common features, - and wait , nothinh else. Rough Estimate: Perihelion Distance alone reduces the effect to about 25% Angle alone reduces the effect to about 40% Combined, they bring it down to roughly 10% General calculation, don't want to spend more time on it.
-
3i/Atlas and weak deceleration ?
Not in agreement. The only factors we can currently consider are: Distance to the Sun Angle of approach and departure Horizontal / Vertical direction Specific trajectory (and whether it matters) As mentioned, we are dealing with an anomaly of unknown origin. It makes no sense to consider outgassing, as nothing has been observed—just as no aliens have been observed. So we are left only with the laws of nature, regardless of whether the one responsible for acceleration or deceleration anomalies is known or not." The interesting question is whether we are seeing more or less the same “pattern” as with the Oumuamua anomaly. We only have a few parameters to work with, and that’s exactly what I’m doing—leading to the conclusion that, at best, we shouldn’t expect more than a relative 10% anomaly.
-
3i/Atlas and weak deceleration ?
Correction: "3I/Atlas moved predominantly in a horizontally trajectory through the solar system, much like ‘Oumuamua did when the anomaly was first detected — and not vertical , as Borisov did.
-
3i/Atlas and weak deceleration ?
"3I/Atlas moved predominantly in a vertical trajectory through the solar system, much like ‘Oumuamua did when the anomaly was first detected — and not horizontally, as Bairsov did. I expect that the laws of nature (which I believe are responsible for the ‘Oumuamua anomaly) are consistent, and therefore 3I/Atlas should exhibit similar behavior. I have repeatedly stated that the 10% figure is derived from simple ratio calculations, where perihelion distance and the angles of entry and exit are the determining factors."
-
3i/Atlas and weak deceleration ?
We have had three interstellar objects pass through the solar system recently: Oumuamua (with an acceleration anomaly of approximately 5×10⁻⁶ m/s²), Borisov (no anomaly), and now 3I/Atlas. The key parameters influencing the strength of ʻOumuamua’s anomaly undeniably appear to be the perihelion distance and the distance to the Sun. Therefore, the perihelion distance along with the inbound and outbound trajectory angles are crucial factors. Based on this, one can estimate—through proportional reasoning—how much weaker a possible similar anomaly might be for 3I/Atlas. I believe most would arrive at a value around 10% of ʻOumuamua’s anomaly (i.e., approximately 5×10⁻⁷ m/s²). There is nothing mysterious or cryptic about such a calculation. However, if I had instead calculated that the anomaly would be a deceleration of 7×10⁻⁷ m/s² on the inbound leg and an acceleration of 3×10⁻⁷ m/s² on the outbound leg, I could understand why someone might think it was a cryptic message.